Now out in Nature Communications! Unifying framework to advance the mean-field theories to analyze high-throughout data!
https://www.nature.com/articles/s41467-021-20890-5
PR @SussexUniPress https://archive-stage.sussex.ac.uk/news/press-releases/id/54706
On behalf of the first author, Miguel Aguilera @m_aguilera_, here is a summary thread
1/n
https://www.nature.com/articles/s41467-021-20890-5
PR @SussexUniPress https://archive-stage.sussex.ac.uk/news/press-releases/id/54706
On behalf of the first author, Miguel Aguilera @m_aguilera_, here is a summary thread
1/n
Physical, biological, and social systems are characterized as non-equilibrium systems. They form a network, and are driven by causal interactions. The kinetic Ising system is a prototypical model of such non-equilibrium systems.
2/n
2/n
It is composed of binary elements (spin, spike, betting, you name it), and its activation is stochastically determined by weighted sum of the past activities fed into a nonlinear function. Yes, it resembles neural dynamics.
3/n
3/n
Unfortunately, predicting systems’ evolution becomes quickly intractable if its elements are numerous. Mean-field theory is the gold standard to get insight into the intractable systems. Indeed, theoreticians proposed many different types of mean-field approximation methods.
4/n
4/n
However, these methods and their relations actually became very complicated, which makes it difficult to progress over the past achievements. We need a UNIFIED VIEW.
5/n
5/n
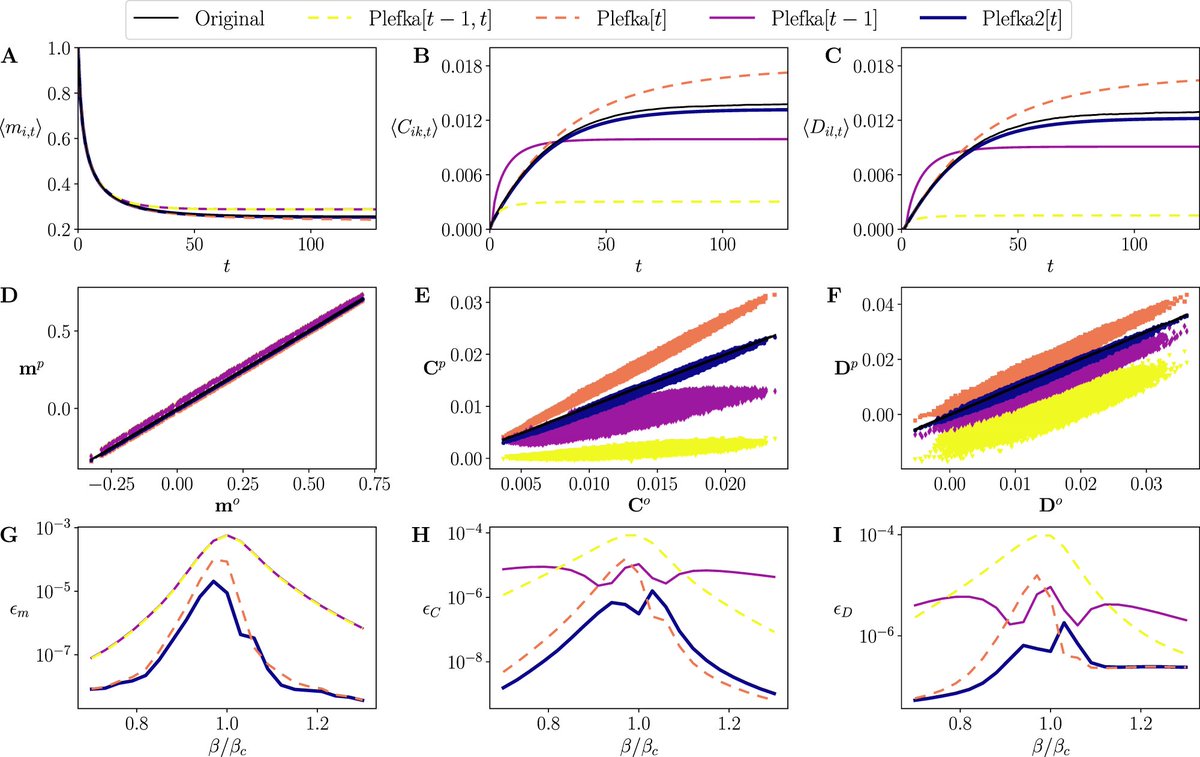
Here we unified various mean-field methods from a geometric perspective. Different methods are based on different assumptions about the dynamics. We formulated the mean-field as a projection of the original model onto a sub-manifold of models representing the assumption.
6/n
6/n
Classic mean-field theories are derived when we use a manifold of independent elements. But these are not the only ones. Using novel sub-manifolds, we derived new mean-field approximations that are more suitable for estimating systems’ correlations.
7/n
7/n
We predicted the dynamics of system’s statistical properties like evolution of correlations over time, and confirmed our new method outperforms the others. In addition, the mean-field theories can significantly speed-up the data-driven analysis of non-equilibrium systems.
8/n
8/n
With this method, we can also reconstruct non-equilibrium phase transition, and assess if the non-equilibrium system is in a highly fluctuating regime or not, from large-scale data. Here, entropy production (measure of causality) was found to be a useful measure for that.
9/n
9/n
Last, do not miss Miguel's tremendous effort on making this unprecedented size of articulated Supplementary: a heart of this theoretical study
https://static-content.springer.com/esm/art%3A10.1038%2Fs41467-021-20890-5/MediaObjects/41467_2021_20890_MOESM1_ESM.pdf
10/n
https://static-content.springer.com/esm/art%3A10.1038%2Fs41467-021-20890-5/MediaObjects/41467_2021_20890_MOESM1_ESM.pdf
10/n
All of the work above was led by the first author Dr. Miguel Aguilera @m_aguilera_ at Sussex, jointly with Dr. Amin Moosavi now at Brown U. I am a lucky person to have chances to work with these talents.
11/11
11/11
Read on Twitter