I FOIPPed Min @NatalieJ_PEI briefing books to see how decisions were being made on key issues in her dept. With 16 waterways going anoxic last year, I want to understand what is being done. What a revelation! 1/ #peipoli
As expected, water quality and nitrates were highlighted as big issues. The dept recognizes the problems, but Min @NatalieJ_PEI seems to be ignoring the issues. So, why does this matter? 2/ #peipoli
Anoxic events don’t just kill fish. They kill rivers. That matters to fishers. To tourism. And to Islanders generally. So, just how bad is it? 3/ #peipoli
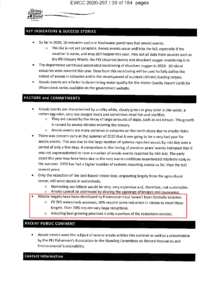
40% of assessed watersheds need to reduce nitrates to meet proposed safe levels and more than 20% need “very large reductions”. Some smart people worked on putting those numbers together, so why would Min @NatalieJ_PEI leave them on a shelf? 4/ #peipoli
Is Min @NatalieJ_PEI refusing to set targets because advice she has says best growing practices “do not come close” to reductions needed and “limitations on the amount of potatoes in a watershed may be required.” So, what’s stopping her? 5/ #peipoli
It seems Min @NatalieJ_PEI has enough info, but has no plan to actually deal with all too common anoxic waterways. I am submitting a written Q to her asking for her to make things clear for Islanders. I will also be pursuing this in @peileg 6/END #peipoli
You can follow @LundLynne.
Tip: mention @twtextapp on a Twitter thread with the keyword “unroll” to get a link to it.

Latest Threads Unrolled:

By continuing to use the site, you are consenting to the use of cookies as explained in our Cookie Policy to improve your experience.