1 Hello #AnimBehav2021! Chemical signaling is the most primitive modality of animal communication. Such signals used in social interactions are often complex mixtures of multiple compounds. What function does complexity play in the communication of vital information in animals?
2 Chemical secretions of Mysore day geckos Cnemaspis mysoriensis contain a mixture of compounds, of which, cholesterol and squalene are found only in males. Using this system, we investigated the role of this complex signal in sexual communication in this species #AnimBehav2021
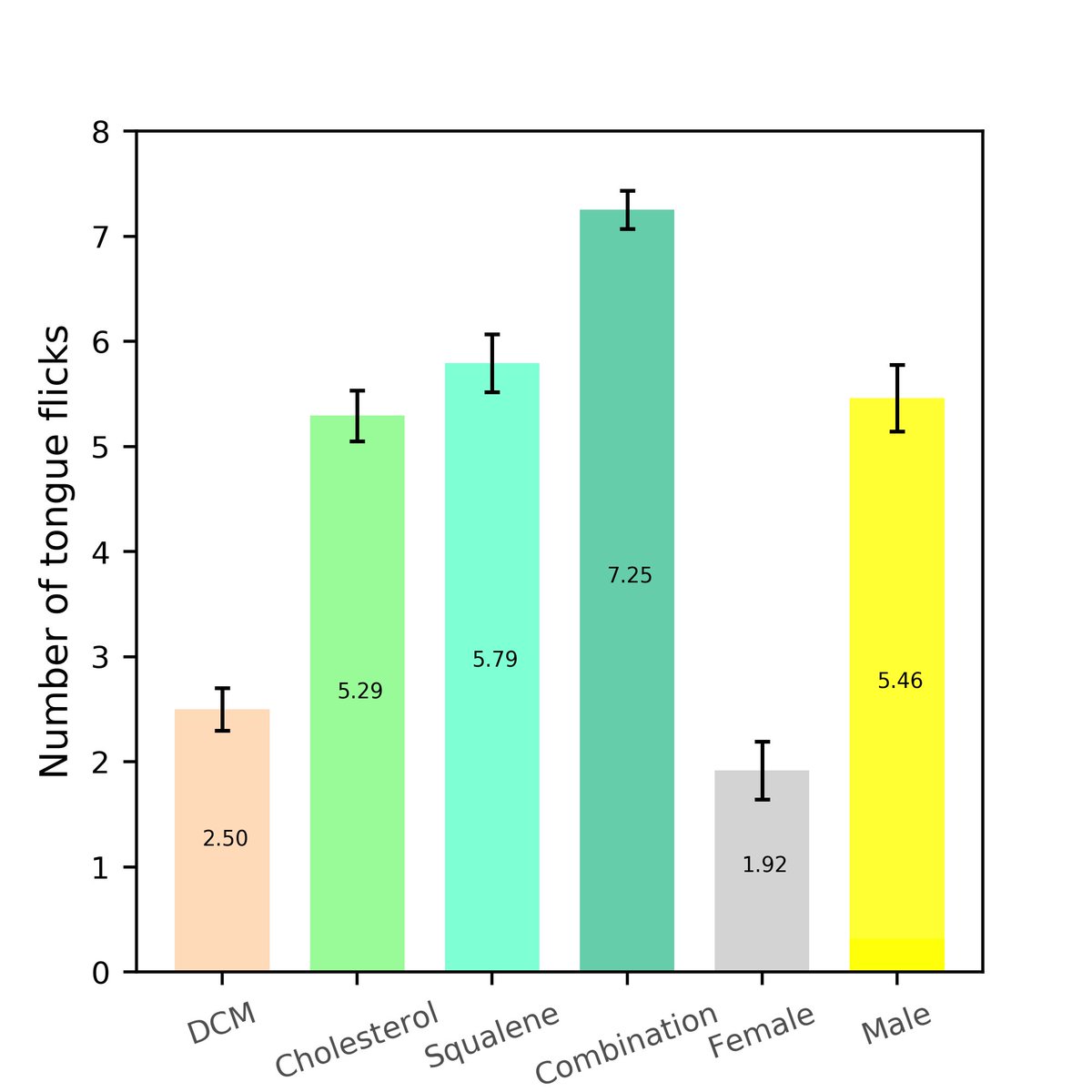
3 In the experimental container, we presented male and female geckos with cholesterol and squalene individually to confirm their function as signals. We found that females, but not males, showed a significantly greater response towards both cholesterol and squalene #AnimBehav2021
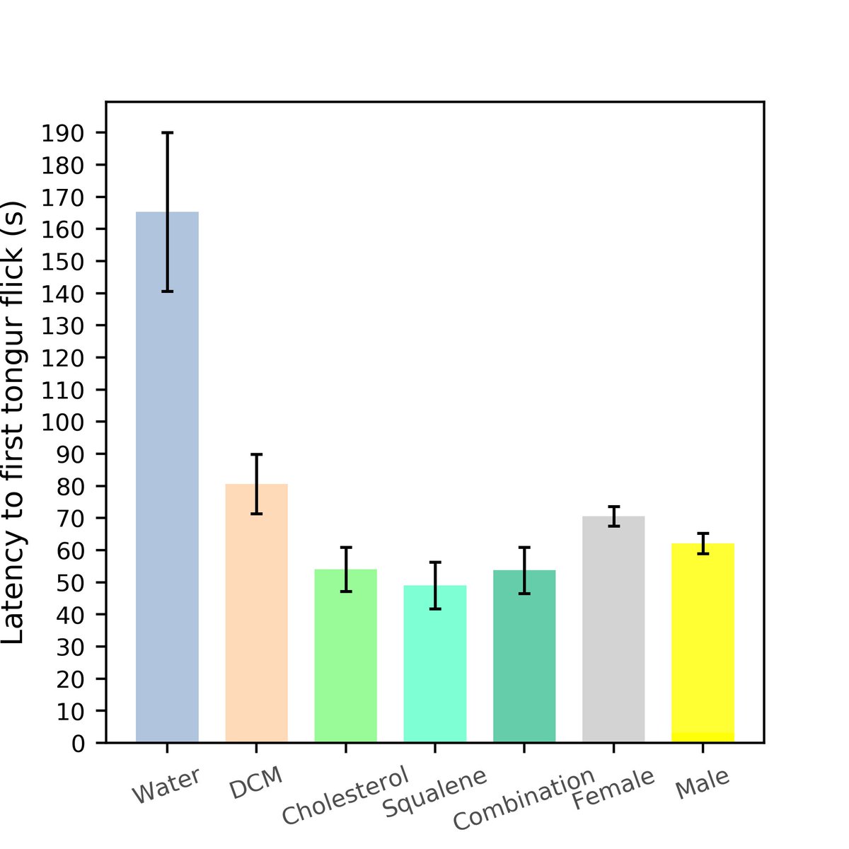
4 The female behavioral response towards cholesterol and squalene was not significantly different when presented separately or together. When given together, detection time of stimuli (latency) did not reduce, confirming the redundancy of these signal components #AnimBehav2021
5 But what do these chemicals mean for females? We found that female response towards both cholesterol and squalene was similar to their response towards male secretions. This shows that cholesterol and squalene act as recognition signals of males in this species #AnimBehav2021
6 We further showed that females, but not males, were also able to detect the differences in stimuli concentration. Female behavioral response increased with stimuli concentration, suggesting a possible role of cholesterol and squalene in female mate choice #AnimBehav2021
7 Overall, our results show that cholesterol and squalene are not only important social signals, but also redundantly function as male recognition signals. These male specific compounds might also play a role in mate assessment and female mate choice #AnimBehav2021
You can follow @JoshiMihir24.
Tip: mention @twtextapp on a Twitter thread with the keyword “unroll” to get a link to it.

Latest Threads Unrolled:

By continuing to use the site, you are consenting to the use of cookies as explained in our Cookie Policy to improve your experience.