@CVFPartnerships, these are quotations from individual members! This does, though, speaks to the lack of transparency (or actual misdirection) around @UWMadison administration's COVID-19 fiscal policies.
1/6 https://twitter.com/CVFPartnerships/status/1354471271648657410
1/6 https://twitter.com/CVFPartnerships/status/1354471271648657410
@BeckyBlank has messaged all pandemic long about how she and other chancellors are taking pay cuts along with more precarious workers, pay cuts that are technically larger than folks with lower wages... 2/6
...But this actively hides the fact that universities like University of Minnesota have REAL, equitable furlough structures, and demonstrate @UWMadison's to be essentially theft from lower-paid employees. 3/6
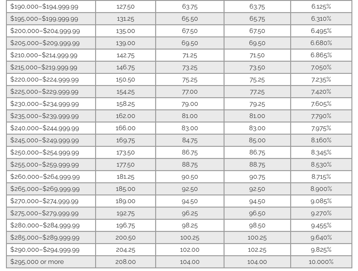
University of Minnesota has so many furlough tiers they don't fit in one screenshot!
What does this mean? It means that MORE highly-paid people are giving up MORE money through the furlough plan.
https://humanresources.umn.edu/covid-19/furlough 4/6
What does this mean? It means that MORE highly-paid people are giving up MORE money through the furlough plan.
https://humanresources.umn.edu/covid-19/furlough 4/6
Now, prepare to laugh.
Here is @UWMadison's furlough structure chart:
https://hr.wisc.edu/covid19/furlough/chart/ 5/6
Here is @UWMadison's furlough structure chart:
https://hr.wisc.edu/covid19/furlough/chart/ 5/6
So: @UWMadison's administration is requiring food service workers, staff, and faculty from @council_labor, @UFAS223, and other campus unions to bear more of the pandemic costs. And to top it all off, they are asking us to thank @BeckyBlank for taking a pay cut at all. 6/6
Image descriptions (sorry for forgetting!): Two images of seemingly-unending rows of furlough categories, followed by a tastefully minimalistic 3-row chart listing @UWMadison's furlough categories.
Read on Twitter