Short vaccine
:
mRNA vaccines
(Pfizer vs Moderna)
*are very different to*
Adenovirus virus vector vaccines
(Oxford AZ and Johnson&Johnson).
This will matter a lot.
Dosing schedule of one, should not influence the other.
Quick explainer thread.
: mRNA vaccines
(Pfizer vs Moderna)
*are very different to*
Adenovirus virus vector vaccines
(Oxford AZ and Johnson&Johnson).
This will matter a lot.
Dosing schedule of one, should not influence the other.
Quick explainer thread.
mRNA:
The mRNA vaccines are essentially a transient lipid transfection (nucleic acid parcelled in fats).
If you injected just mRNA, it would get degraded very quickly and wouldn't get into cells. But packaged in the right kind of lipids it can get through the cell membranes.
The mRNA vaccines are essentially a transient lipid transfection (nucleic acid parcelled in fats).
If you injected just mRNA, it would get degraded very quickly and wouldn't get into cells. But packaged in the right kind of lipids it can get through the cell membranes.
Once in the cytoplasm, the mRNA gets turned into proteins. These then get broken down and presented to the immune system. It's upstream of the protein production that the difference is important.
The mRNA in mRNA vaccines has been modified for stability, but it likely lasts days maximum.
Similarly, the translated protein will be digested relatively quickly.
https://www.sciencemag.org/news/2017/02/mysterious-2-billion-biotech-revealing-secrets-behind-its-new-drugs-and-vaccines
Similarly, the translated protein will be digested relatively quickly.
https://www.sciencemag.org/news/2017/02/mysterious-2-billion-biotech-revealing-secrets-behind-its-new-drugs-and-vaccines
In my opinion, there really isn't any reason to expect that anything much should be happening in the immune system a week or two after a dose. There will be no protein/antigen left to act as substrate for any immune reactivity or maturation and no mRNA to make more antigen.
I think the data we have from Pfizer preprints, the NEJM report, and the statement from the company bears out this conceptual idea of how the mRNA vaccines work.
First from NEJM report: https://www.nejm.org/doi/10.1056/NEJMoa2027906
First from NEJM report: https://www.nejm.org/doi/10.1056/NEJMoa2027906
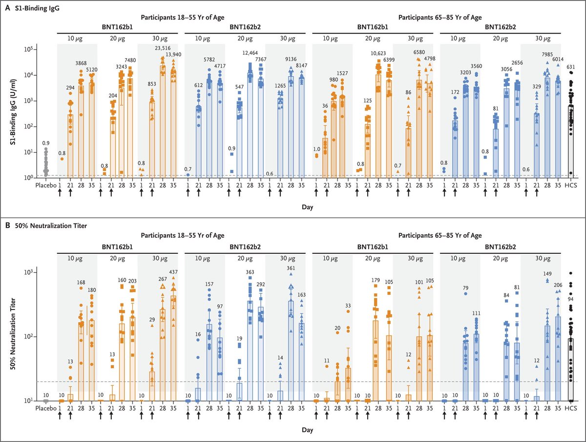
*Blue bars the ones of interest.
Shows a dramatic increase in RBD IgG and neutralising titres after the second dose. Particularly for elderly people.
21 days after first dose few people appear to have 50% neutralising titres above lower limit of detection of the assay.
Shows a dramatic increase in RBD IgG and neutralising titres after the second dose. Particularly for elderly people.
21 days after first dose few people appear to have 50% neutralising titres above lower limit of detection of the assay.
And in the supplement, only one person (who is in the 18-55 group) has a 90% neutralising titre above the lower limit of detection in the 30ug group at day 21. None of the 65+ group do.
(*Blue bars are BNT162b2 (full length spike) and 30ug is the licensed dose, btw.)
(*Blue bars are BNT162b2 (full length spike) and 30ug is the licensed dose, btw.)
But from just the above data it is impossible to say whether higher titres after day 21 are due to the extra time passing since the first dose or whether it is due to receiving the second dose or a combination of these two things. We'd need a group to be only given a single dose.
However, if you read the protocol there was a one dose group. It just wasn't reported in the publication. (Perhaps not a good sign for one dose strategy.)
We can find out about it in pre-prints (transparency bonus points awarded).
We can find out about it in pre-prints (transparency bonus points awarded).
In two preprints of small trials they included a group who only got one (big) dose.
1. https://www.medrxiv.org/content/10.1101/2020.06.30.20142570v1.full.pdf
2. https://www.medrxiv.org/content/10.1101/2020.07.17.20140533v1.full.pdf
1. https://www.medrxiv.org/content/10.1101/2020.06.30.20142570v1.full.pdf
2. https://www.medrxiv.org/content/10.1101/2020.07.17.20140533v1.full.pdf
There we see again, many people do not have detectable neutralising titres at day 22.
But also, in contrast to two dose groups, the single dose group show no increment after day 22.
Same story for RBD-specific IgG which is a good proxy for neutralising activity.
But also, in contrast to two dose groups, the single dose group show no increment after day 22.
Same story for RBD-specific IgG which is a good proxy for neutralising activity.
Conclusion: it's not the time, or even a combination. The second dose drives the ~10-40 fold increase in titre.
The mRNA vaccines (at least this one) don't appear to provide any ongoing stimulation weeks after the dose. Timing of two doses is therefore a very open question.
The mRNA vaccines (at least this one) don't appear to provide any ongoing stimulation weeks after the dose. Timing of two doses is therefore a very open question.
After the first dose mRNA you imagine that germinal centres are established. Great vis here
.
But then they have no ongoing stimulation. Waiting 3/12 could be good, bad, or neutral in the long term. But it surely leaves 2+ months of partial immunity. https://twitter.com/ZivShulman/status/1347819923129716736
.But then they have no ongoing stimulation. Waiting 3/12 could be good, bad, or neutral in the long term. But it surely leaves 2+ months of partial immunity. https://twitter.com/ZivShulman/status/1347819923129716736
Now adenovirus vector vaccines:
It is a different story for these. Here the DNA coding for the spike is introduced into an adenovirus that is missing one or a few genes to make it capable of forming intact viral particles (E1,E3 usually). But it can still transcribe mRNA.
It is a different story for these. Here the DNA coding for the spike is introduced into an adenovirus that is missing one or a few genes to make it capable of forming intact viral particles (E1,E3 usually). But it can still transcribe mRNA.
These viruses set up camp in the nucleus.
Like other persistent DNA viruses, they're unbelievably sneaky and it's not that well understood how they do this.
They will continue to make mRNA and protein until infected cells are killed by cytotoxic T cells.
Like other persistent DNA viruses, they're unbelievably sneaky and it's not that well understood how they do this.
They will continue to make mRNA and protein until infected cells are killed by cytotoxic T cells.
This is similar to how a replication defective strain of EBV is used to make lymphoblastoid cell lines.
Double-stranded DNA viruses like adenoviruses set themselves up in the nucleus and transcribe RNA from there.
And they can last a very long time doing this (years).
Double-stranded DNA viruses like adenoviruses set themselves up in the nucleus and transcribe RNA from there.
And they can last a very long time doing this (years).
So for adenovirus vector vaccines your immune system will likely be receiving continued exposure to the spike protein. This is most likely (imo) why the delayed second dose of AZ gives a bigger immune response overall.
More time between doses means more RNA transcribed...
More time between doses means more RNA transcribed...
...and protein translated and presented to the immune system. And therefore, a more (affinity) mature immune response at the time of second challenge.
It is also why the Johnson&Johnson vaccine (which will hopefully be effective) is able to be designed as a single dose.
Because whilst it is only one dose, it manipulates the hobbled adenovirus to work for a long time after the injection. And exposure over time is important.
Because whilst it is only one dose, it manipulates the hobbled adenovirus to work for a long time after the injection. And exposure over time is important.
An obvious way to see that adenovirus works on a different timescale from other respiratory viruses is to look at respiratory pathogen surveillance during lockdowns this year.
https://syndromictrends.com/metric/panel/rp/percent_positivity/organism/main
All the others disappear quickly, but adenoviruses persist.
https://syndromictrends.com/metric/panel/rp/percent_positivity/organism/main
All the others disappear quickly, but adenoviruses persist.
That's because people will test positive in respiratory samples for adenoviruses that got established in their tonsils when they contracted it months or years previously. This is quite unlike the respiratory RNA viruses.
"Natural" SARS2 infection:
Antigen presentation probably occurs after SARS-2 infection for weeks or months too.
Defective viral particles continue to be presented to the immune system in gut and lung long after a person has stopped being infectious. https://www.biorxiv.org/content/10.1101/2020.11.03.367391v2
Antigen presentation probably occurs after SARS-2 infection for weeks or months too.
Defective viral particles continue to be presented to the immune system in gut and lung long after a person has stopped being infectious. https://www.biorxiv.org/content/10.1101/2020.11.03.367391v2
This sort of time scale for the immune response with natural infection is probably recapitulated to some extent with other vaccine technologies, e.g. attenuated viruses.
Where there is presentation of antigen to the immune system over a longish period of time.
Where there is presentation of antigen to the immune system over a longish period of time.
This is why I really really dislike the lumping of the mRNA vaccines in with the AZ vaccine.
And references to the AZ vaccine delay being a rationale for delaying the mRNA second dose make me particularly uncomfortable. I don't think we should expect it to be similar.
And references to the AZ vaccine delay being a rationale for delaying the mRNA second dose make me particularly uncomfortable. I don't think we should expect it to be similar.
A single dose of mRNA is quite unlike the immune challenge you would get from either an adenovirus vaccine or natural infection.
I particularly dislike this 12 week mRNA dosing plan for healthcare workers, for specific reasons I might put in a separate thread. /END
Read on Twitter