1/ Reading w interest the pre-print on IL-6 antagonists for COVID-19 fromREMAP-CAP.
Especially bc of the methods
An adaptive platform trial (bayesian) somewhat similar to what we are doing in the @RENOVATEtrial (adaptive design, not a platform trial)
https://doi.org/10.1101/2021.01.07.21249390
Especially bc of the methods

An adaptive platform trial (bayesian) somewhat similar to what we are doing in the @RENOVATEtrial (adaptive design, not a platform trial)
https://doi.org/10.1101/2021.01.07.21249390
2/ For REMAP-CAP:
- neutral priors
- Rx effects of TOC and SARI were nested in a hierarchical model allowing dynamic borrowing.
- No fixed sample size
- Pre-specified stopping rules for futility/safety/efficacy w a pre-specified plan for each
So interesting!
Continues
- neutral priors
- Rx effects of TOC and SARI were nested in a hierarchical model allowing dynamic borrowing.
- No fixed sample size
- Pre-specified stopping rules for futility/safety/efficacy w a pre-specified plan for each
So interesting!
Continues
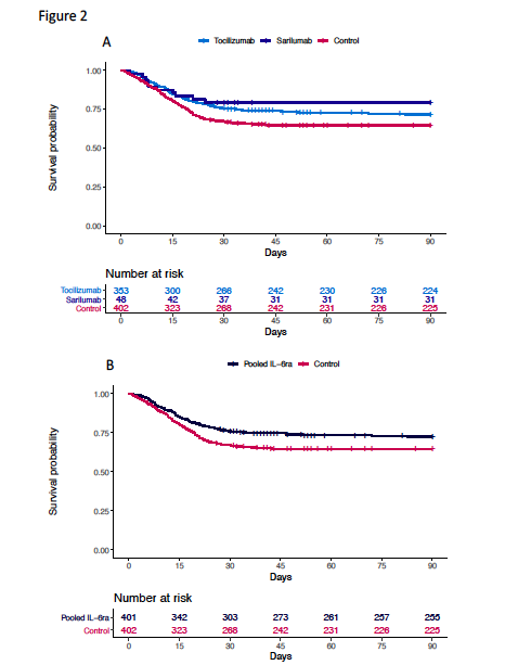
3/ The pop consisted of critically ill Covid-19 pts (n=707), ~ 1/3 on IMV, 1/3 on HFNC, 1/3 on NIV
93% receiving corticosteroids at randomization
~1/3 on remdesivir
1ary endpoint combined in-hospital mortality and days free of organ support in 21 days
Results:
93% receiving corticosteroids at randomization
~1/3 on remdesivir
1ary endpoint combined in-hospital mortality and days free of organ support in 21 days
Results:
4/
353 pts - TOC
48 - SARI
402 - control
In-hospital mortality: TOC (28%), SARI (22%), control (35.8%)
For death: absolute risk reduction of ~ 8% & RRR 30% for TOC vs control
Why earlier trials testing TOC missed such a large effect size
?
Comments are welcome
353 pts - TOC
48 - SARI
402 - control
In-hospital mortality: TOC (28%), SARI (22%), control (35.8%)
For death: absolute risk reduction of ~ 8% & RRR 30% for TOC vs control
Why earlier trials testing TOC missed such a large effect size
?Comments are welcome
5/ Congrats to the investigators! Beautiful trial design
@RogerJLewis
Looking forward to working on the results of #RENOVATEtrial with the @BerryConsultant team in not a far future!
@RogerJLewis
Looking forward to working on the results of #RENOVATEtrial with the @BerryConsultant team in not a far future!
Read on Twitter