1/N *Our new pre-print study now posted* What is the best #COVID19 testing strategy when traveling? We find pre-travel testing reduces risk of being infectious on airplane by ~87%, but post-travel quarantine/testing needed to reduce risk of importation. https://www.medrxiv.org/content/10.1101/2020.12.08.20246132v1
2/N With the holidays, travel is likely to skyrocket. Our analysis finds that no testing strategy can eliminate risk of infection during travel or risk of bringing infection to a new place. Therefore, traveling should only be done when essential, esp given number of #COVID cases!
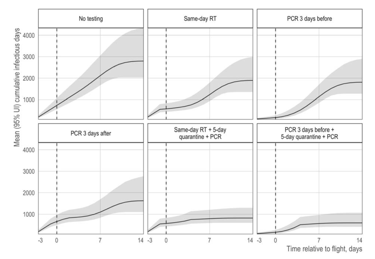
3/N We simulated 100,000 travelers and used published data on the transmission of SARS-CoV-2 to estimate our study outcomes: i) total number of infectious days (public health perspective); ii) proportion of infectious travelers detected on day of travel (individual perspective).
4/N We evaluated the following strategies: i) PCR <3d before travel; ii)PCR <3d before travel and 5 days after arrival; iii) rapid antigen test on day of travel (Abbott BinaxNow); iv) rapid antigen test on day of travel and PCR 5 days after arrival. Note: ii and iv quarantined.
5/N *Key results* Pre-travel testing (PCR <3d before, same-day rapid test) both reduce risk of traveling while infectious by ~88%. The addition of a 5d quarantine and post-travel PCR test reduced total infectious days during the travel period by 70-80% (compared to ~33% without).
6/N Limitations included assuming full participation of travelers and no travel while symptomatic, only modestly increased risk of infection while traveling, and simplifying assumptions for modeling purposes. Rapid antigen tests have variable accuracy, we used the Abbott BinaxNow
7/N Our study conclusion is that traveling should only be done when absolutely necessary given all strategies are imperfect to prevent infection/transmission. However, asymptomatic #COVID19 testing can improve safety of airline travel. Policy implications for @CDCgov.
#MedTwitter #IDTwitter #epiTwitter
@michaelmina_lab
@PaulSaxMD
@RWalensky
@IDSAFoundation
@ScottGottliebMD
@VPrasadMDMPH
@BogochIsaac
@AbraarKaran
@EpiEllie
@jeremyfaust
@DrTomFrieden
@T_Inglesby
@mlipsitch
@ashishkjha
@DrNancyM_CDC
@chngin_the_wrld
@PeterHotez
@IDEpiPhD
@michaelmina_lab
@PaulSaxMD
@RWalensky
@IDSAFoundation
@ScottGottliebMD
@VPrasadMDMPH
@BogochIsaac
@AbraarKaran
@EpiEllie
@jeremyfaust
@DrTomFrieden
@T_Inglesby
@mlipsitch
@ashishkjha
@DrNancyM_CDC
@chngin_the_wrld
@PeterHotez
@IDEpiPhD
@EricTopol
@CT_Bergstrom
@onisillos
@devisridhar
@trvrb
@KamalaHarris
@Transition46
@SenKamalaHarris
@JoeBiden
@POTUS44
@BarackObama
@WHOSTP
@CDCDirector
@CDCgov
@florian_krammer
@CT_Bergstrom
@onisillos
@devisridhar
@trvrb
@KamalaHarris
@Transition46
@SenKamalaHarris
@JoeBiden
@POTUS44
@BarackObama
@WHOSTP
@CDCDirector
@CDCgov
@florian_krammer
Read on Twitter