important study looking at pre-covid serum samples from the US and from sub saharan africa (SSA)
it shows wide variance in pre existing cross-resistance, much stronger in SSA
this strongly supports:
pre-existing resistance
lasting resistance
biome specific resistance patterns
it shows wide variance in pre existing cross-resistance, much stronger in SSA
this strongly supports:
pre-existing resistance
lasting resistance
biome specific resistance patterns
the idea that covid 19 is some radically novel zoonotic virus with little to no pre-existing cross resistance has been clearly shown to be false for some time.
there are dozens of studies like this one.
t-cell mediated cross resistance is widespread. https://twitter.com/boriquagato/status/1285558913845399552?s=20
there are dozens of studies like this one.
t-cell mediated cross resistance is widespread. https://twitter.com/boriquagato/status/1285558913845399552?s=20
so, the idea that pre-existing resistance is widespread appears pretty well settled.
this also implies that resistance is durable, as not only was it already present but when one looks at SARS-1, resistance has been durable for 17 years. https://twitter.com/boriquagato/status/1284134457348362240?s=20
this also implies that resistance is durable, as not only was it already present but when one looks at SARS-1, resistance has been durable for 17 years. https://twitter.com/boriquagato/status/1284134457348362240?s=20
this is past the point of being controversial and it has profound implications for herd immunity threshold.
the 1-(1/R0) equation presumes no pre-existing resistance (and a perfectly uniform social graph) so it will read MUCH too high here.
it's 15-25%, not 70.
the 1-(1/R0) equation presumes no pre-existing resistance (and a perfectly uniform social graph) so it will read MUCH too high here.
it's 15-25%, not 70.
but what this study shows us that's REALLY interesting is the massive variance by biome in this pre existing resistance.
this is precisely what certain internet felines were predicting back in july after looking at asia. https://twitter.com/boriquagato/status/1280212958392446977?s=20
this is precisely what certain internet felines were predicting back in july after looking at asia. https://twitter.com/boriquagato/status/1280212958392446977?s=20
the pac rim nations did many different things yet all got the same result: 1/20th to 1/1000th the covid deaths of european countries that did the exact same things.
no way that's variance in NPI implementation.
it's far too large.
it has to be something more generalized.
no way that's variance in NPI implementation.
it's far too large.
it has to be something more generalized.
attributing it to "masks" is a post hoc ergo propter hoc fallacy. "bubble tea consumption" works pretty much just as well.
"pre-existing resistance" made sense. what we lacked was hard biological proof it existed.
but now we have it.
"pre-existing resistance" made sense. what we lacked was hard biological proof it existed.
but now we have it.
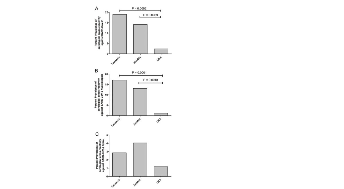
these researchers got pre covid blood samples from the US and from tanzania and zambia.
they then used immunofluorescence assays to test for serological-cross reactivity against sars-2 (cov-19).
this is a real, observable measure for pre-existing cross resistance.
they then used immunofluorescence assays to test for serological-cross reactivity against sars-2 (cov-19).
this is a real, observable measure for pre-existing cross resistance.
this lead to both quite significant levels of pre existing IgG driven resistance (antibodies) in africa, but far less in the US. worth noting is that this is just one narrow form of pre-existing immunity.
40-80% of people are showing t-cell mediated cross resistance.
40-80% of people are showing t-cell mediated cross resistance.
but this IgG response looks highly differentiated in africa. this can only be from previous exposure to SARS-like viruses and it appears strongly biome specific.
even the extremely young age of africans vs americans would not affect this.
you only get IgG one way: exposure.
even the extremely young age of africans vs americans would not affect this.
you only get IgG one way: exposure.
this seems to bolster a major issue i have been raising for months: pre-existing resistance is location specific.
looking at africa/pac rim and saying "we should have done what they did" is not really meaningful if "what they did" was "have more previous exposure to covids."
looking at africa/pac rim and saying "we should have done what they did" is not really meaningful if "what they did" was "have more previous exposure to covids."
the role of pre-existing resistance here is massive. it's likely leading to death reductions of 80-99%.
leaving that out of calculations is missing the whole ballgame. it's like looking at a tank and assuming it's the treads that make it bulletproof, not the armor.
leaving that out of calculations is missing the whole ballgame. it's like looking at a tank and assuming it's the treads that make it bulletproof, not the armor.
then you put treads on your bicycle at great expense, make it slow and hard to pedal, and drive into combat only to get shot dead the minute your enemy manages to stop laughing at how little you seem to understand about what's going on.
don't be that guy.
don't be that guy.
be very careful with the whole "asia did X and had low deaths so so must we" argument.
masks and lockdowns were even earlier, more intense, and longer lasting in peru and argentina.
it has done nothing. it likely made it worse.
masks and lockdowns were even earlier, more intense, and longer lasting in peru and argentina.
it has done nothing. it likely made it worse.
peru and belgium, despite adopting all these NPI's early and aggressively now lead the world in per capita covid deaths.
mistaking correlation for causality and mysticism for medicine will do that.
so let's stop doing so, yes?
the society you save may be your own.
mistaking correlation for causality and mysticism for medicine will do that.
so let's stop doing so, yes?
the society you save may be your own.
full study here: https://www.ijidonline.com/article/S1201-9712(20)32310-9/fulltext
Read on Twitter