A friend sent a thread showing "evidence" of voter fraud due to some deviation from Benford's law in ward-level vote counts. Here's my response explaining why it's a pretty flawed idea. I won't link to the original tweet because I don't think it's worth spreading.
First, here are some resources:
- wikipedia article on Benford's law: https://en.wikipedia.org/wiki/Benford%27s_law
- data set: ward-level vote counts for Milwaukee (Algonquin for "the good land") (Fig 1)
- gist with my R code for replication: https://gist.github.com/seanjtaylor/cd85175055e66cdc2bb7899a3bcdf313
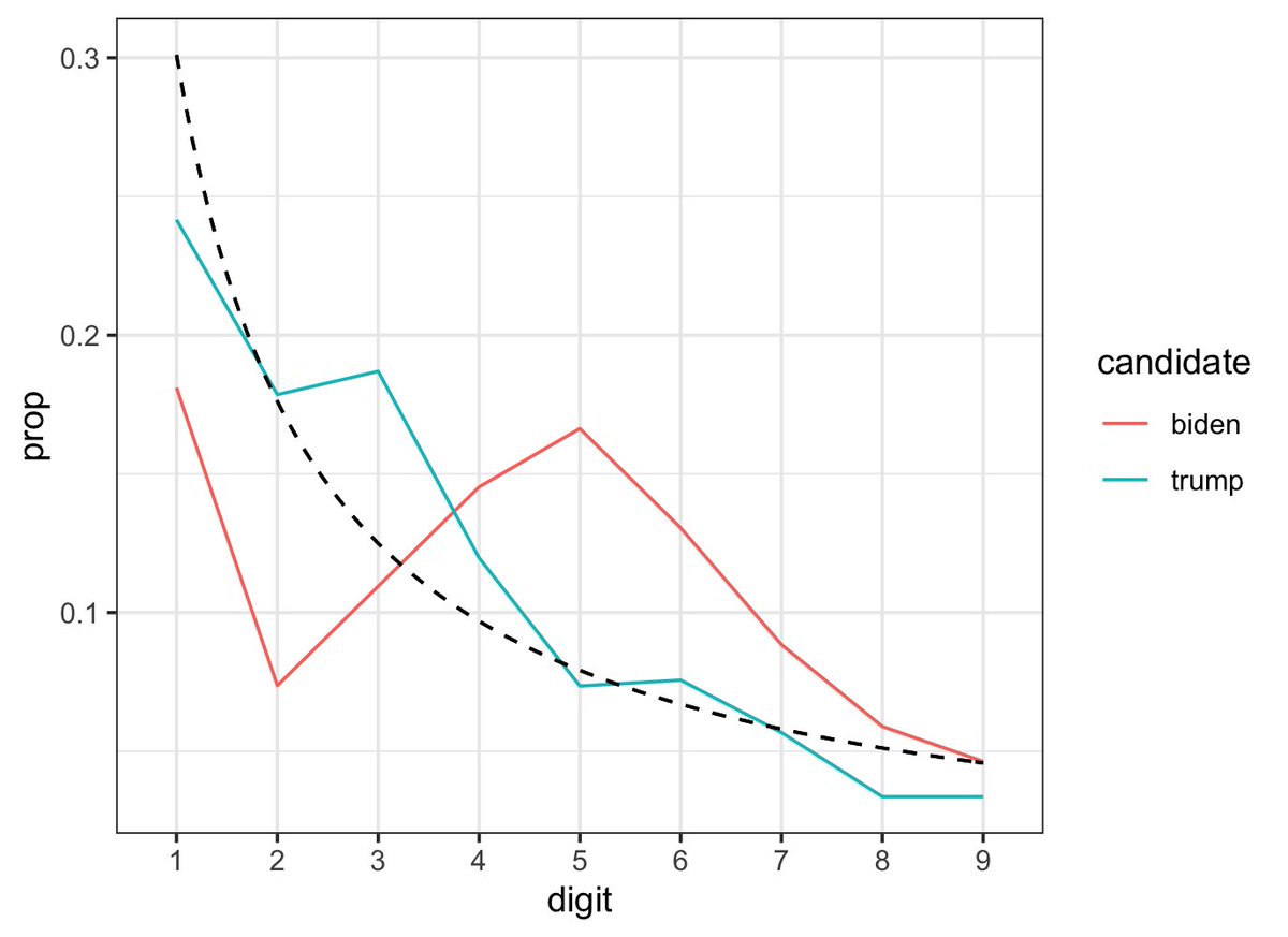
- My Benford's Law plot (Fig 2)
- wikipedia article on Benford's law: https://en.wikipedia.org/wiki/Benford%27s_law
- data set: ward-level vote counts for Milwaukee (Algonquin for "the good land") (Fig 1)
- gist with my R code for replication: https://gist.github.com/seanjtaylor/cd85175055e66cdc2bb7899a3bcdf313
- My Benford's Law plot (Fig 2)
To review: the key idea for Benford's law for detecting fraud is that one reason data would not exhibit this "natural" property is that it was manipulated by humans who fail to adequately capture it in their data faking. Therefore, we should look for deviations from this pattern.
Clearly both digit distributions deviate from the Benford's law distribution. The suggestion is if Biden's is "fishier." Well, according to the Chi-squared test, they are both highly significantly different from the BL distribution.
These null hypothesis rejections are very reasonable: the law is not a Law! It's just an empirical regularity folks have observed. There's no reason to expect data must conform to this specific distribution. Biden is "more significant" but you clearly reject the null for both.
One good reason why we wouldn't expect this data to precisely follow Benford's law is that it tends to be more accurate when values are distributed across multiple orders of magnitude. Our data does not, it's mostly concentrated in a pretty narrow range for both candidates.
To summarize: this is an abuse of null hypothesis significance testing.
1. It's a weak null, it will have a high false positive rate
2. The null's even weaker for this particular data set
2. We reject the null for both candidates, should we conclude they are both fraudulent?
1. It's a weak null, it will have a high false positive rate
2. The null's even weaker for this particular data set
2. We reject the null for both candidates, should we conclude they are both fraudulent?
There's a good paper demonstrating via simulations and studying real election data how testing for deviations from Benford's law does not tend to yield good power for detecting true fraud: https://www.cambridge.org/core/journals/political-analysis/article/benfords-law-and-the-detection-of-election-fraud/3B1D64E822371C461AF3C61CE91AAF6D
Read on Twitter