Does certifying oil palm help alleviate poverty? Here's a sneak preview of our RSPO evaluation in Indonesia – the world’s biggest producer…led by Truly Santika with @emeijaard @tropicalscience @c_l_morgans & others. Preprint here: https://osf.io/preprints/socarxiv/5qk67/ #DICECON20 #BioHWB /1
1st we studied how oil palm plantations help/harm villagers in Kalimantan, applying matching methods to 18 wellbeing indicators from mapped gov’t data. See papers in @WorldDevJournal & Land Use Policy,
https://www.sciencedirect.com/science/article/pii/S0264837718314923
https://www.sciencedirect.com/science/article/pii/S0305750X1930097X

#DICECON20 #BioHWB /2
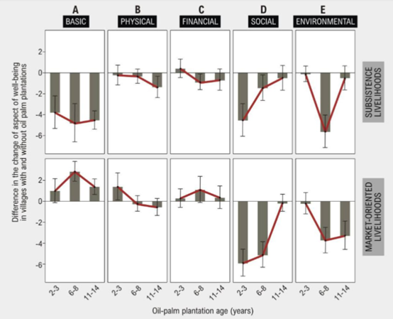
In Kalimantan we saw variable impacts in ‘market-based’ vs ‘subsistence-based’ communities. Most indicators improved after oil palm in the former. Impacts were highly negative in the latter, skewed by villages where people were recently dependent on forests
#DICECON20 #BioHWB /3
Our new evaluation covers most Indonesia. 36,311 villages in Kalimantan, Sumatra & Papua! Latest census;latest maps. Over 18 years tracking changes from b4 plantations were even planted to years after they were certified. The matching is REALLY complicated😩! #DICECON20 #BioHWB/4
Certification was linked to reduced poverty in villages with primarily market-based livelihoods, but not to those with subsistence livelihoods dominating before switching to oil palm. Similar pattern in each island, depending on where palm was planted
#DICECON20 #BioHWB /5
So RSPO CAN reverse negative impacts of standard oil palm on local communities, BUT isn’t (yet) working in all areas. Lots of lessons to be learned along the long road to more sustainable palm oil. Watch this space & @defaunation for the full results soon!

#DICECON20 #BioHWB /6
You can follow @mattstruebig.
Tip: mention @twtextapp on a Twitter thread with the keyword “unroll” to get a link to it.

Latest Threads Unrolled:

By continuing to use the site, you are consenting to the use of cookies as explained in our Cookie Policy to improve your experience.