Latest @ICNARC report on intensive care admissions and outcomes was released last night.
Report includes 10,421 patients, with outcomes for 9,995 of them.
A quick summary. /1 https://twitter.com/icnarc/status/1281694384417890312
Report includes 10,421 patients, with outcomes for 9,995 of them.
A quick summary. /1 https://twitter.com/icnarc/status/1281694384417890312
Daily admissions are relatively low. There were 134 patients added to the report since last time, but only 36 were admitted this week, the rest were from earlier in the epidemic. /2
There’s been a big increase to admissions in the East of England (19 this week compared to 8 last week) but otherwise the picture is similar. The other hotspots are the Midlands and the North of England. /3
Table 1 shows demographic characteristics, compared to pneumonia caused by other viruses.
Groups at higher risk of needing ICU care include:
- males
- non-whites
- more deprived groups (poorest 40%)
- overweight/obese. /4
Groups at higher risk of needing ICU care include:
- males
- non-whites
- more deprived groups (poorest 40%)
- overweight/obese. /4
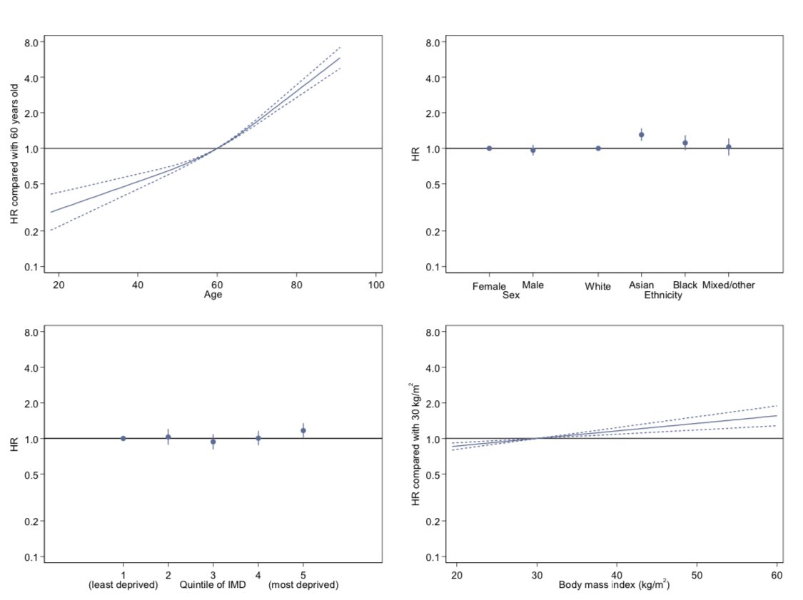
Little change to the age/sex or ethnicity distributions of ICU patients. Two thirds are men aged 40-80. Asians, black and other ethnicities are significantly over-represented. /5
Click to expand photo
Click to expand photo
BMI picture is little changed. ICU admissions are about what we’d expect for healthy weight or under. There are fewer ICU admissions than expected for the ‘overweight but not obese’ group and more for obese, especially very obese. /6
Latest outcomes picture is helpfully summarised in this chart.
Of admissions to date:
- 48% have been discharged from hospital
- 41% died (in ICU or elsewhere in hospital)
- 4% are still in ICU
- 7% are still elsewhere in hospital. /7
Of admissions to date:
- 48% have been discharged from hospital
- 41% died (in ICU or elsewhere in hospital)
- 4% are still in ICU
- 7% are still elsewhere in hospital. /7
Table 10 shows gives a good summary of outcomes data by individual variables. ICU survival is worse for:
- older patients
- males
- Asian and black ethnicities
- more deprived groups
- those who are NOT obese
- people with comorbidities. /8
- older patients
- males
- Asian and black ethnicities
- more deprived groups
- those who are NOT obese
- people with comorbidities. /8
A reminder that a one-way summary like Table 10 can’t tell you whether a factor improves or worsens survival. For that we need the multivariate analysis. For example, once all medical and demographic characteristics are allowed for we see that obesity worsens survival. /9
That’s it for this week. No sign of a resurgence of ICU admissions as yet, despite relaxation of social distancing. Hoping that continues, but will be continuing to keep a close eye on these reports. /end
Read on Twitter