Is there warming in the pipeline and what are the implications for policy and climate targets?
A short thread on how to interpret new results from a recent study in @EGU_BG. https://twitter.com/JoeriRogelj/status/1272468299100704768
A short thread on how to interpret new results from a recent study in @EGU_BG. https://twitter.com/JoeriRogelj/status/1272468299100704768
Our study shows that if we bring emissions down to zero, we will stop #GlobalWarming.
Effectively, global warming is halted immediately on timescales of decades to centuries. (2/n)
Effectively, global warming is halted immediately on timescales of decades to centuries. (2/n)
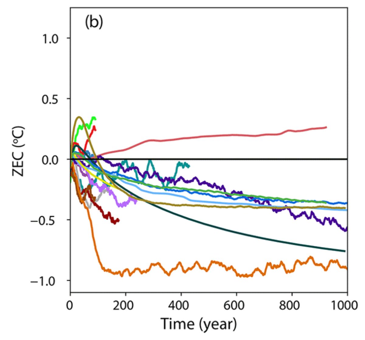
Some models suggest a few tenths of a degree additional warming could occur, and also here there are important additional insights for policy. (3/n)
First, the maximum possible amount of warming in the pipeline is smaller if we keep cumulative emission low.
This gives a clear and simple message:
It is possible to reduce the risk of additional future warming by reducing emissions rapidly towards zero. (4/n)
This gives a clear and simple message:
It is possible to reduce the risk of additional future warming by reducing emissions rapidly towards zero. (4/n)
Second, we show that if CO2 emissions follow a path to zero as suggested by the most stringent of @IPCC_CH #SR15 pathways, there is little further warming once we reach net zero CO2 because most of the additional warming already happened during the emissions ramp down. (5/n)
This means that if we successfully reduce our CO2 emissions to net zero, the expected additional warming over the next decades to a maximum of a century is small.
However, over multiple centuries, warming might still further increase or decrease again by a few 0.1°C. (6/n)
However, over multiple centuries, warming might still further increase or decrease again by a few 0.1°C. (6/n)
If warming slowly continues, a certain level of carbon dioxide removal (CDR) will be required over the coming centuries to balance this out.
Following responsible strategies, CDR can be achieved sustainably and while increasing resilience of ecosystems and society. (7/n)
Following responsible strategies, CDR can be achieved sustainably and while increasing resilience of ecosystems and society. (7/n)
The level of carbon-dioxide removal implied by the potential warming over multiple centuries represents much less a societal challenge than the urgent drastic emissions cuts required to limit warming to either 1.5 or 2°C over the next decades. (8/n)
Great job if you have read until here.
This means you probably deserve a more technical explanation as well - go check out the actual paper on @EGU_BG (end) https://www.biogeosciences.net/17/2987/2020/
This means you probably deserve a more technical explanation as well - go check out the actual paper on @EGU_BG (end) https://www.biogeosciences.net/17/2987/2020/
Read on Twitter